近日,bw必威西汉姆联官方网站陈颖教授课题组在食源性致病菌的检测方面取得重要研究进展,相关研究成果以题为“Hybrid recognition-enabled ratiometric electrochemical sensing of Staphylococcusaureus via in-situ growth of MOF/Ti3C2TX-MXene and a self-reporting bacterial imprinted polymer”的学术论文发表于食品科学领域国际著名期刊Food Chemistry(IF=8.5,中科院一区Top期刊)上。bw必威西汉姆联官方网站bw必威西汉姆联官方网站硕士研究生刘洋为论文第一作者,陈颖教授为论文通讯作者。该研究受国家自然科学基金(21605007)和湖北省自然科学基金(2023AFB906)项目的资助。

成果简介
食品安全一直是全球关注的焦点,尤其是食品中的细菌污染问题。金黄色葡萄球菌(S. aureus)是一种广泛存在的病原体,约占微生物食物中毒事件的25%。快速有效地分析食源性细菌对预防和控制各类细菌感染至关重要。传统的培养方法通常受到灵敏度有限和检测周期长的限制。免疫学检测和分子生物学检测等无需培养的方法在省时和提高灵敏度方面具有一定优势,但仍存在样品预处理复杂、成本高以及操作技术要求较高等问题。因此,建立一种低成本、快速的致病菌无损分析方法对于确保食品安全和诊断细菌感染具有重要意义。
本研究提出了一种基于比率电化学传感技术的新型检测方法,用于快速检测食品中的金黄色葡萄球菌。研究团队首先合成了一种自报告分子印迹聚合物(MIP)作为内参探针(IR),并在过渡金属碳氮化物(Ti3C2Tx-MXene)上原位生长金属有机框架材料(MOF),继而修饰亚甲基蓝和万古霉素(Van),形成信号纳米探针(SP)。该方法通过混合识别机制,利用MIIP@Apt(aptamer-integrated MIP)高效捕获金黄色葡萄球菌,随后与SP结合形成三明治结构。当金黄色葡萄球菌存在时,IR的电流响应(IIR)降低,而SP的电流强度(ISP)增加,通过计算ISP与IIR的比值,实现对金黄色葡萄球菌的定量检测。实验结果显示, 该生物传感器具有广泛的检测范围(10 ~ 108 CFU mL-1)和低至1.2 CFU mL-1的检测限。此外,该方法在复杂样品中的应用也显示出良好的可行性,表明其在食品分析中的潜在应用价值。
研究亮点
· 本研究结合自报告MIP与原位合成MOF/MXene SP,构建了新型比率电化学传感平台,并首次提出了目标物的三重受体协同识别机制。
· 该方法提高了检测灵敏度和准确性,显著缩短了分析时间,为食品中金黄色葡萄球菌的快速检测提供了新的技术手段。
· 该研究能实现对一倍稀释复杂样品的直接检测,对于食品安全领域的技术进步具有重要意义,有望应用于食品生产和检测环节,有效预防和控制食源性细菌感染,保障公众健康。
图文赏析

图1. 实验方案图

图2. Ti3C2TX Mxene和MIL/Ti3C2TX的SEM及EDS图像

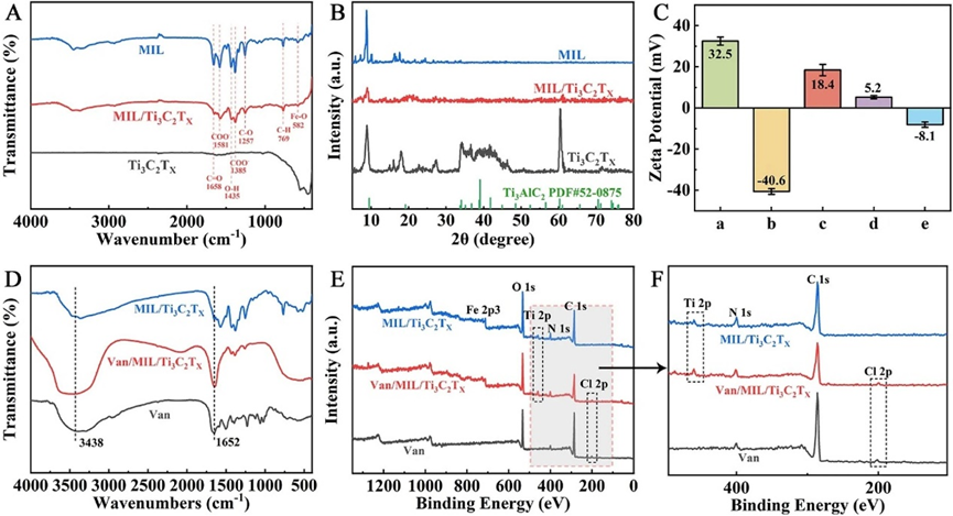
图3. Ti3C2TX、MIL 和 MIL/Ti3C2TX的FTIR、XRD及XPS谱图和Zeta电位

图4. 可行性研究

图5. 稳定性研究

图6. 灵敏性研究

图7. 选择性研究
原文链接
https://doi.org/10.1016/j.foodchem.2024.141496